Wahlteil
🎓 Prüfungsbereich für Niedersachsen
Weitere Bundesländer & Aufgaben:
Mathe- Prüfungen Startseite
Austausch & Hilfe:
Prüfungen-Discord
- 1
Eine Firma produziert zylinderförmige Blumentöpfe. Die Töpfe haben einen Durchmesser von
und eine Höhe von .

Berechne das Volumen des Blumentopfes.
[ 2 Pkte ]
Natalie füllt Erde in den Blumentopf.
Berechne die Füllhöhe der Erde im Blumentopf.
[ 2 Pkte ]
Die Firma möchte den Blumentopf mit einer Figur aus zwei gleichen
Dreiecken verzieren.
Berechne die Höhe eines Dreiecks.

[ 3 Pkte ]
Berechne den Flächeninhalt der Figur.
(Solltest du Teilaufgabe c) nicht gelöst haben, rechne mit weiter.)
[ 3 Pkte ]
- 2
Herr Jalowiecki lässt das Wasser von seiner Regentonne ab. Das Wasser läuft mit annähernd
gleichbleibender Geschwindigkeit ab.
Vervollständige die Tabelle und zeichne passend zur Wertetabelle einen Graphen in das Koordinatensystem ein.


[ 3 Pkte ]
Bestimme die zur Wasserhöhe passende Funktionsgleichung.
[ 1 Pkt ]
Herr Jalowiecki lässt das Wasser um 15:30 Uhr ab.
Bestimme, um wie viel Uhr das Wasser in der Tonne hoch steht.
[ 1 Pkt ]
Herr Jalowiecki braucht eine neue Regentonne. Er vergleicht 2 verschiedene Modelle mit gleichem Volumen.

Skizziere die Tonne zum Graphen A.
[ 1 Pkt ]
Gib die Koordinaten des Schnittpunktes an und erkläre seine Bedeutung.
[ 2 Pkte ]
Nach 5 Minuten hat sich etwas vor dem Wasserhahn verfangen. Das Wasser läuft jetzt nur noch halb so schnell ab.
Gib an, wie lange es jetzt noch dauert, bis die Tonne B leer ist.
[ 2 Pkte ]
- 3
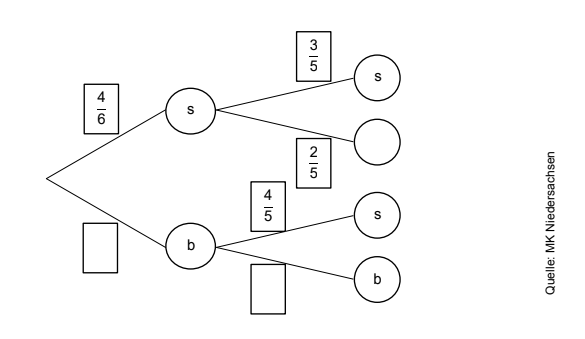
In Tobias‘ Schublade befinden sich 4 schwarze (s) und 2 blaue (b) Socken. Tobias greift, ohne hinzusehen, nacheinander 2 Socken aus seiner Schublade.
Ergänze das folgende Baumdiagramm.

[ 3 Pkte ]
Tobias zieht 2 schwarze Socken.
Markiere den entsprechenden Pfad und berechne die Wahrscheinlichkeit.
[ 2 Pkte ]
Berechne, wie hoch die Wahrscheinlichkeit ist, dass er 2 verschiedenfarbige Socken zieht.
[ 3 Pkte ]
Tobias kauft noch 4 blaue Socken und 4 schwarze Socken.
Er behauptet: „Jetzt ist die Wahrscheinlichkeit, 2 blaue Socken zu ziehen, größer als vorher.“
Hat Tobias Recht? Kreuze an und begründe.
[ 2 Pkte ]
- 4
Die Schülerzeitung der Ursulaschule hat eine Befragung zum Thema Fernunterricht durchgeführt. Die Schülerinnen und Schüler durften den Fernunterricht ihrer Lehrkräfte benoten.
Berechne die fehlenden Werte in der Tabelle und vervollständige das Säulendiagramm.


[ 3 Pkte ]
An der Goetheschule haben die Lehrkräfte für den Fernunterricht eine Durchschnittsnote von 2,95 erhalten.
Berechne die Durchschnittsnote für den Fernunterricht an der Ursulaschule und kreuze an, welche Schule besser bewertet hat.
[ 3 Pkte ]
Außerdem wurden die 400 Schülerinnen und Schüler danach gefragt, was sie am meisten am Fernunterricht gestört hat. Es durften mehrere Möglichkeiten angegeben werden.

Kreuze an, ob folgende Aussage wahr oder falsch ist.

[ 2 Pkte ]
Elias behauptet: „Die Prozentsätze können nicht stimmen, weil sie addiert mehr als 100 % ergeben.“
Hat Elias recht, dass die Prozentsätze nicht stimmen können? Kreuze an und begründe.
[ 2 Pkte ]
Dieses Werk steht unter der freien Lizenz
CC BY-SA 4.0 → Was bedeutet das?






